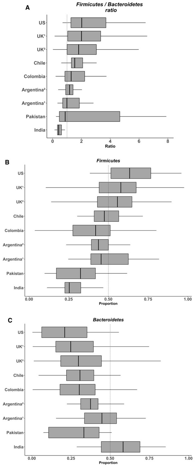
Firmacutes and Bacteroidetes
From: Chuck Darling
August 13, 2025
The human gut microbiota
has trillions of bacteria,
Two Phyla make up 90% of them.
The ratio between their populations
determines obesity, or normal weight.
Too much Firmacutes, and you're
Obese.
Diet influences the ratio, as does
activity and antibiotics.
High fiber foods favor Bacteroidetes,
High Fat diets favor Firmacutes.
My Great Aunt Ceil told me that
when they were young, in the spring,
they were given a purgative, then told to eat nothing but fresh foods.
It gave us more energy, she said.
- Antibiotic Therapy affects the
- Bacteroidetes/Firmacutes ratio
- in a positive manner, but it's a
- complicated business involving
- the reduction of varieties of the
- thousands of taxa of bacteria,
- and the expression of unknown
- forms of Bacteroidetes.
MACs
Non-digestible complex carbohydrates can promote the proliferation of a broader spectrum of microbial families/species with specific properties and release specific microbial metabolites . Also named microbiota-accessible carbohydrates (MACs), they are mainly found in cereals, some fruits and vegetables, and in human milk during breastfeeding (human milk oligosaccharides). MACs such as inulin and oligofructose are found in garlic, onions, artichokes, asparagus, bananas, and chicory root. They have a growing interest in being made available for gut microbiota as prebiotics to promote the growth Lactobacillus and F. prausnitzii and to metabolize into SCFAs. These effects, in turn, contribute to improve gut barrier function, increase insulin sensitivity and ameliorate lipid profile.
Interestingly, in a mice model, a high fat-MAC diet improved cognitive impairments through the gut microbiota-brain axis induced by high-fat diet consumption.
https://doi.org/10.1016/j.bpg.2023.101828
[Chuck's 00Cedar JPICedar ]
[ This page built with JPICedar by Chuck Darling Wednesday 8-13-2025 Time : 7:42pm]
https://archive.ph/






